ST Engineering Hub, 1 Ang Mo Kio Electronics Park Road
#06-02
Singapore 567710
By clicking "Accept All", you consent to our use of all cookies on this website. By clicking “Reject all” or if you continue browsing without making a choice, only cookies that are strictly necessary to operate this website will be used. You may opt-out of each cookie category (except necessary cookies) by clicking on "Manage Cookies".
Applications and Use Cases
There are many ways to perform ranging with radar, with the most well-known methods being FMCW (i.e., Frequency Modulated Continuous Wave) and pulsed-radars (i.e., TOF method). These methods range stationary and moving targets.
A 3rd less well-known method is the FSK (i.e., Frequency Shift Keying). Through time, we have received many inquiries about the FSK technique and how difficult it is to find any information about it.
This unique method makes use of the phase difference between 2 and more frequencies to create multiple IF channels from a single IF channel. Through the multiple channels, one can determine the distance between the intended target and the radar, plus, the target’s direction of travel.
This post gives an overview of the theoretical proof of this technique.
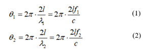
As FSK uses the wavefront’s phase difference to obtain range information, we first formulate the phase of each frequency’s received signal based on the following:

Where,
l is the distance of the intended target in meters.
f1, f2 are the 2 operating frequencies.
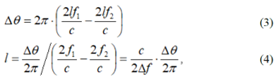
Now, obtain the paths’ phase delay difference of the channels and we can obtain the distance expression:

From this expression, we can estimate the maximum unambiguous range based on the 2 operating frequencies and correlate the phase delta, Δθ, with the detected range, l, shown in the table below:

From the table, you can see the balance between the amount of frequency deviation, range resolution and maximum unambiguous range.
Applications include indoor/outdoor security detectors, smart lighting, smart motion detectors, industrial automation, toys, sports radars, automatic door sensors and more!
Here at AGILSense, we have developed various sensor models and even the MP340 development kit to assess feasibility in your applications.
Unconvinced? Check out our MP340 demo in our Youtube channel here: https://youtu.be/vdpKgoralQQ.
ST Engineering Hub, 1 Ang Mo Kio Electronics Park Road
#06-02
Singapore 567710
Copyright © 2025 AGILSense